中文
中文
¦
繁体
¦
English
首页
Home
走进奇昇
About csctech
解决方案
Solutions
产品中心
Product
客户服务
Service
资讯中心
News
联系我们
Contact us
企业信息
企业地位
企业理念
TCO半导体解决方案
TCO初中效解决方案
风机过滤单元
初中效过滤器
高效/超高效过滤器
高效送风口
化学过滤器
客户案例
资料下载
产品分类
产品分类
csctech
风机过滤单元
标准型
节能型
高压型
超薄型
初中效过滤器
板式过滤器
折褶式过滤器
纸框过滤器
袋式过滤器
活性炭过滤器
金属网过滤器
箱式过滤器
V型塑框过滤器
高效/超高效过滤器
V型金属框过滤器
高效有隔板过滤器
高效无隔板过滤器
液槽式过滤器
PTFE过滤器
高效送风口
抛弃式高效送风箱
下拆式高效送风箱
可拆式高效送风箱
产品详情
产品详情
csctech
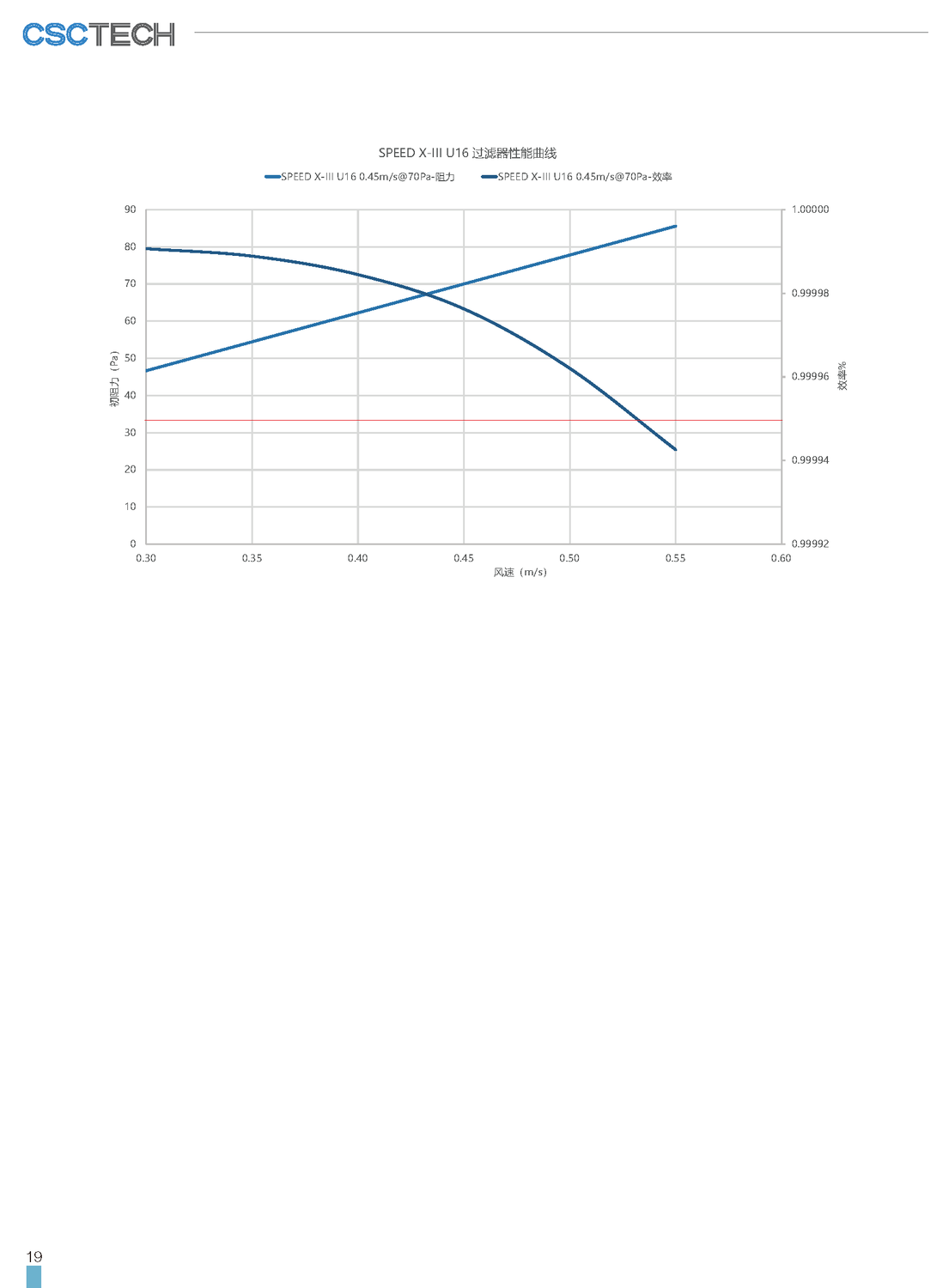
高效无隔板过滤器
上一个
下一个
产品详情
奇昇净化
为全球客户提供完整的产品解决方案及完善的产品全生命周期服务
走进奇昇
解决方案
产品中心
客户服务
资讯中心
联系我们
企业信息
企业地位
企业理念
TCO半导体方案
风机过滤单元
客户案例
资料下载
初中效过滤器
高效送风口
洁净设备
高效/超高效过滤器
TCO初中效方案
微信扫描关注
奇昇净化